Actual Velocity and Acceleration

 


Back to Contents

Back to Obstruction Theory

To Relativistic Mass


4             Effect of actual velocity on acceleration.

 If the velocity of an object at a very great distance from a large mass is equal to v0 m/s, then, according to Newton, when the object moves in free fall towards a mass due to gravitational acceleration, the velocity at the distance r is equal to

  m/s.

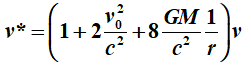
According to § 2 the actual speed is     m/sec.

With the expression for v this means that      m/s.   

The velocity v* hardly deviates from the velocity v calculated using traditional theory, because v02/c2 is of order 109 and the last term within the parentheses at 1 AU is of order    8x108. However, the last term does yield measurable acceleration values.

 

We find this acceleration by calculating how much the velocity decreases in 1 sec as the object moves radially away from the sun with velocity v* m/s. Then the object has traveled a distance of v* ≈ v meters. We find the decrease in velocity in 1 sec by

Using the expression for v for this acceleration we get: m/s2  .                 

The first term of the result decreases quadratic with distance and will therefore, in the traditional approach, be considered a part of the mass because it satisfies Newton's law of gravitation. However, it only occurs for an object with a base velocity v0 in deep space and depends on the magnitude of that velocity.

In deep space, Pioneer 10 has a velocity of 11.2 km/s.
We find that the first term
= 0.67x1010 m/s2 . The second term is independent of the base velocity and has a value = 9.36x1010 m/sec2.

The final term   m/sec², however, is a cubic term unknown in established theory. We call this the anomalous acceleration. At the distance of the Earth's orbit, this cubic term is even larger than the additional acceleration resulting from the extra cubic term.

The cubic term can only be determined by precise measurements.

 

When the velocity makes an angle j with the gravitational acceleration, we get an acceleration of:

We must use this formula for the Pioneers after their encounter at Jupiter.

For this acceleration we get:

 m/s.

 The anomalous acceleration now takes the form:

   m/s2.

From the term cos2j, we conclude that an object moving tangentially with respect to the heliocentric distance does not exhibit anomalous acceleration. It is understandable then that this phenomenon has not been detected from planetary motions. Therefore, comets and objects like 'Oumuamua and the Pioneers are particularly welcome to investigate the existence of these additional accelerations, as they change their heliocentric distance rapidly.

The fact that the orbits of comets have not revealed the extra accelerations earlier may be a consequence of the flexible corrections that can be used through the process of  'outgassing'  to readily "explain" any orbital deviation.


Back