Angle Effect

 


To Contents


To Part 8a Optical Distance Effect


8b           Calculations on Comet Oumuamua

 

           The Angle effect

 Because the Sun is observed from the comet at a position it occupied a few seconds earlier, the gravitational acceleration is not directed exactly at the center of mass of the actual Sun. In Newton's theory, this is the case. During most of the flight to and from the Sun, this will have little effect, but close to the Sun, this effect becomes significant because the angle j becomes considerable. Therefore, the angular effect is most pronounced during the passage past the Sun.

 The component of gravitational acceleration at point B* (see Figure 7) that reduces the comet's orbital velocity as it recedes from the Sun 
can be calculated using Newton's formula:
 m/s˛. 

This acceleration is directed toward the (coloured) Sun.

 

Fig 7 Acceleration component due to the angular difference between the actual position of the Sun and the position where it is observed.

 However, according to the Obstruction Theory, the gravitational acceleration is the value found (see Fig. 7) along the connecting line to the observed (uncoulored) Sun.

We find its component as      m/s2. This latter value is smaller than the former value calculated using Newton's theory.

According to the obstruction theory, the comet is slowed down less by this effect as it moves away from the sun than in Newton's theory. It therefore retains more speed as it moves away from the sun. We'll calculate this.  

The acceleration component g according to the obstruction theory along the trajectory direction therefore differs from that of Newton by:
The difference is
    m/s2.

With ψ in radians       radians.  
With this we find:
     m/s2.

When the comet approaches the sun, the angular effect has the opposite effect. Then, according to the drag theory, the component toward the sun is actually larger than according to Newton. This is illustrated in Figure 7 at point D*.
As the comet approaches the sun, its acceleration increases, reaching a particularly high speed. As the comet moves away from the sun, it slows down less and therefore retains more speed. All in all, the comet's additional speed doubles.

However, if we approach this, the result is that a planet must also constantly accelerate. This contradicts experience. We've apparently overlooked something.

It turns out that the angle y  is not entirely correct. Figure 8 illustrates the angle at which the sun is seen from the comet. The sun is observed at the position it was in relative to the comet, r/c,  seconds earlier. At that time, the sun was (r/c)v meters to the right of its actual position and was moving in the opposite direction from the comet's perspective with the velocity of that earlier moment.

When the comet approaches the Sun and reaches the point D*, the comet has travelled a certain distance since the light with which the Sun is observed was emitted by the Sun.

At the moment the light left the Sun, the comet was at point D**. As the comet moved from D** to D*, the comet's direction changed slightly due to the Sun's gravitational pull. Therefore, the angle must be corrected.

The question is, how much has the comet changed direction? In D**, its direction was Dj greater, so (j+Dj). In the figure, the direction the Sun was moving when the comet was in D**, and the direction it is moving now that the comet is in D*, are indicated by two dashed lines. The angle between the two directions is Dj. For the comet in D*, the difference in direction is illustrated by two bold dashed lines.

 

Fig 8 Calculation of the angle ψ.

 The Sun is observed at the position it was at, relative to the comet, r/c sec earlier. At that time, the Sun was (r/c)v meters to the right of its current position and was moving in the opposite direction from the comet's perspective at the speed it was at that earlier moment. When the comet approaches the Sun and reaches point D*, the comet has travelled a certain distance since the light was emitted by the Sun.

At the moment the light left the Sun, the comet was at point D**. As the comet moved from D** to D*, the comet's direction changed slightly due to the Sun's gravitational pull. Therefore, the angle ψ must be corrected.

The question is, how much has the comet changed direction? In D**, its direction was still jDj  greater, so (j+Dj ). In the figure, the direction the Sun was moving when the comet was in D**, and the direction it is moving now that the comet is in D*, are indicated by two dashed lines. The angle between the two directions is Dj . For the comet in D*, the difference in direction is illustrated by two bold dashed lines.

 The figure shows that the angle at which the comet observes the Sun relative to its direction of motion is equal to: jψ+Dj radians. 
The correction therefore relates to the increase or decrease in the radius of curvature of the orbital motion.
Beyond perihelion the contribution
Dj  becomes positive. As the radius of curvature increases the velocity increases again relative to Newton and vice versa.  

We calculate the magnitude of Dj .
The time it takes for light to travel from the sun to the comet is r/c sec. The distance travelled in that time is: r/c x v meters. Due to the sun's gravity, the speed in the direction of the sun has increased to gzon x r/c
Then the speed perpendicular to the orbital motion
 .

Therefore        rad.

With this we find:

 or

  or 


   
 m/s2. 

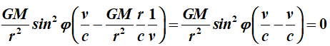
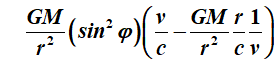
 Ř            For circular motions the following applies ,   so

           .

        This gives us:   


The conclusion is that  the speed of a planet cannot change because of this. That's exactly what we were looking for. This applies to all circular motions. Therefore, we can't apply this to 'Oumuamua, because the comet doesn't orbit the sun in a circle.

Again using a numerical approach, we used the above formula to find the extra speed the comet gained due to the angular effect.
 In the calculations for the following Table 3 we used the same data as in Table 2.
 

Table 3 The speed difference between the obstruction theory and Newton's theory due to the angle effect.

Column J of the table shows the acceleration the comet experiences at the indicated distance due to the angular effect. Column K shows the sum of the velocity increases over the successive distances between the points in column A. This tells us how much faster Comet Oumuamua travels at various distances after passing perihelion due to the angular effect.
For example we see that the speed at the distance of Venus's orbit has increased by 20.9 m/sec due to this effect.
We saw earlier (table 2) that at that place the speed was slowed down by 4.2 m/sec due to the optical distance difference.

By subtracting the results resulting from the distance effect from those from the angle effect, we find an increased velocity in column F in Table 4.
We also see in the Table 4  that the velocity near Mercury increases to about 20 m/s. At large distances beyond Earth's orbit, the velocity increase decreases to about 12 m/s. 
These values give us confidence that the obstruction theory explains the comet's anomalous velocity behavior. However, we must keep in mind that the values still deviate from the estimates we made for the angle
j.. 

We'll have to leave it to the astronomers who have studied Oumuamua 's orbit to enter the correct numbers.

                        

A further consequence of these findings is that any comet orbiting the Sun in an elliptical orbit moves away from the Sun at a greater speed than the speed at which it approaches the Sun. How this speed changes precisely over the entire cycle of an elliptical orbit requires further investigation.

            Conclusion

Here we see two brilliant examples of how the Obstruction Theory can provide solutions to questions that plague established science: how comet Oumuamua acquired its anomalous velocity, and how the Pioneer 10 and 11 spacecraft acquired their anomalous accelerations. While traditional calculations for Pioneer 10 yield an acceleration that is (8.74±1.33)x10–10 m/sec˛ smaller than the measurements, using the drag theory, we find a value that is     9.37x10–10 m/sec˛ larger than the calculations according to established theory. This result can therefore fully explain the anomalous acceleration.

For Comet Oumuamua, the velocity has been measured to increase by 17 m/sec during its passage near the Sun, and we find a value of 15 m/sec, but this is strongly dependent on the estimates we made for the angle between the direction of motion and the direction of the Sun.

This is also an acceptable result, as it is not known what corrections were applied by the astronomers to their calculations to arrive at the number 17.

The conclusion is that the ObstructionTheory can break the current physics impasse created by the measured anomalous velocity of Comet Oumuamua and the anomalous accelerations of the Pioneers.

Back