Pioneers en Oumuamua I

Naar de Portier
Naar Donkere Materie
Naar Time & Cosmos

Naar Deel II
To English

    De onbegrepen baanbewegingen van de 
                    Pioneers en Oumuamua

Henk Dorrestijn 
21 september 2025


1 Inleiding 
2 De werkelijke snelheid 
3 De Belemmeringstheorie en de extra gravitatieversnelling    
4 Effect van de werkelijke snelheid op de versnelling            
5 Relativistische massatoename   
6 Toepassing op de Pioneers                                                       
  

7 Toepassing op de interstellaire komeet Oumuamua            
8a De komeet en het Afstandseffect   
8b
De komeet en het Hoekeffect 
Conclusies

1 Inleiding

Een nauwkeurige analyse van de relativiteitstheorie laat zien dat één  van de uitkomsten van de speciale relativiteitstheorie, namelijk dat  een bewegend voorwerp in de bewegingsrichting gekrompen is met de Lorentzfactor g , op een gedachtefout van Einstein berust. Om dit te begrijpen, moeten we wat ik noem de Grondwet van de Natuurkunde toepassen. Deze kunnen we formuleren als: Er is slechts één natuurkundige werkelijkheid. Dit betekent dat alle waarnemers van een natuurkundige gebeurtenis deze zodanig zullen beschrijven dat de beschrijvingen met elkaar in overeenstemming zijn. Ze moeten daarbij hun waarneming uiteraard corrigeren voor de omstandigheden waaronder de waarneming werd gedaan.

 Onder een Gebeurtenis wordt hier verstaan een verandering van de ordening van materiële entiteiten waarbij ervan wordt uitgegaan dat ook het uitgezonden licht dat we waarnemen van de gebeurtenis zijn ontstaan dankt aan een verandering van de ordening der deeltjes op de plaats waar het licht vandaan komt.

De gebeurtenis kan zich voor de ene waarnemer over een ander tijdvak afspelen dan voor de andere waarnemer maar de gebeurtenis blijft identiek. Uitgaande van deze grondwet kan men laten zien dat het krimpen van een bewegend voorwerp, de Lorentzcontractie,  onjuist is . Dit is uitgebreid behandeld in mijn boek Time and Cosmos met de ondertitel A new Cosmological Worldview (afgekort tot T&C zie  T&C p. 141149)

We zullen dit bewijs hier niet herhalen omdat dit teveel zou afleiden van onze speurtocht naar de afwijkende baanbewegingen van de ruimtevaartuigen Pioneer 10 en 11 die zich tot een grote afstand van de zon verwijderden en van de komeet Oumuamua.

Op de afleiding van Einstein waaruit bleek dat de tijd in het met de snelheid v bewegende stelsel g keer trager is dan de tijd van het stelsel van waaruit het bewegende stelsel wordt bekeken, hebben we geen enkele aanmerking. De afleiding en het resultaat zijn volstrekt juist.
Onder de genoemde Lorentzfactor g wordt verstaan:
                             . 

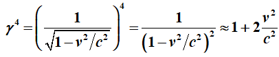
Voor het geval dat de snelheid veel kleiner is dan de lichtsnelheid, dus v<< c  mogen we als benadering voor de Lorentzfactor schrijven  g ≈ 1+½v2/c2.  

Er is echter in plaats van de Lorentzcontractie iets anders aan de hand namelijk: de snelheid van een bewegend voorwerp waaraan we door meting van de tijdsduur over een afstand tussen een begin en een eindpunt de waarde v toekennen, blijkt vanuit één enkele waarnemer gezien groter te zijn met de Lorentzfactor g  tot de vierde macht. Voor dit laatste kunnen we schrijven: 

Wanneer we dus voor de snelheid van een voorwerp tussen twee punten de waarde v hebben gevonden door de lengte van de afstand te delen door het tijdsverschil op de klok bij aankomst en de klok bij het startpunt dan is de werkelijke snelheid gelijk aan  v* = g4 v m/sec.  

Het begrip snelheid is aan herziening toe.

Het voorgaande is in het genoemde boek ook bewezen, zij het dat we daar abusievelijk als resultaat v*=g 2 v m/sec hadden genoteerd. In de volgende paragraaf wordt de formule voor de werkelijke snelheid verhelderd.

Verder heeft deze analyse een nieuw natuurfilosofisch inzicht tot gevolg gehad  dat tot een aanscherping van de formule van Newton  voor de zwaartekracht heeft geleid. Wanneer we ons namelijk afvragen welke invloed een massa in de kosmos kan hebben op een voorwerp op de afstand r in de ruimte dan is de eerste bevinding dat die massa er gewoon staat. We kunnen hem zien. Maar tegelijkertijd kunnen we niet zien wat zich achter die massa ophoudt. De massa's hoeven hiervoor helemaal geen krachten op elkaar uit te oefenen. Maar als we uitrekenen hoe groot de relatieve ruimtehoek is die ingenomen wordt door het stuk ruimte dat we niet kunnen waarnemen, levert dat een getal op dat precies even groot is als de tijdvertraging (TVT) die Einstein voor die massa op de afstand r  berekende, namelijk    sec/sec  

Dat betekent dat de tijd nauw samenhangt met de zichtbaarheid, de waarneembaarheid van de ruimte.

Als men weet dat uit de tijdvertraging de zwaartekrachtversnelling rond een massa wordt gevonden door deze te differentiëren naar r en te vermenigvuldigen met c2 dan zien we dat de zwaartekracht en de massa hiermee meer betekenis krijgen.  

Over het object bestaan uiteraard tijdsnelheidsverschillen omdat de ruimtehoek die de massa inneemt gezien vanaf de voorkant van het object groter is dan aan de achterkant. Op natuurfilosofische gronden nemen we aan dat een vrij bewegend object zich altijd zo zal bewegen dat er zo min mogelijk verschillen overblijven in de tijdsnelheid over het object. Door de versnelling die een object verkrijgt in het zwaartekrachtveld van een massa worden de tijdsnelheidsverschillen geminimaliseerd.  Op die manier zullen twee identieke, zich vrij bewegende objecten zoveel mogelijk identiek blijven.

Dit leidt tot een nieuw inzicht in het begrip zwaartekrachtveld rond een massa. De bewegingstoestand die het vrij bewegende object vertoont nabij een andere massa is de natuurlijke beweging waaraan het voldoet om de tijdsnelheidsverschillen over het object teniet te doen. In een lege ruimte zonder fysische eigenschappen -  waar wij van uit gaan - is er geen kracht nodig om het object zijn versnelling te geven Er is alleen kracht nodig om het object tegen te houden in zijn natuurlijke beweging. Dat is gewoon de zwaartekracht.  

Wanneer we de zwaartekracht op deze wijze beschouwen, blijkt de formule voor de gravitatieversnelling die hiermee worden afgeleid verschillen te vertonen met de klassieke formules van Newton en Einstein. We noemen de nieuwe theorie die hier het gevolg van is: de Belemmeringstheorie.  

De formule die in de Belemmeringstheorie voor de zwaartekracht gevonden wordt, leidt op korte afstand van de massa als deze in gedachten is samengebald tot een zwart gat tot grotere waarden dan de wet van Newton voorspelt. Op zeer grote afstand vallen ze echter samen. Afstanden die in het zonnestelsel een rol spelen, laten bij  nauwkeurige berekeningen kleine afwijkingen zien.  
In §3 gaan we hier dieper op in want met deze verbetering van de theorie samen met de resultaten die met de werkelijke snelheid (§4) worden gevonden kan het afwijkende snelheidsgedrag van de Pioneers ( §6 ) worden verklaard.

Tenslotte leidt de nieuwe theorie tot de conclusie dat de gravitatieversnelling die een voorwerp ondervindt wordt bepaald door de plaats van de massa zoals deze wordt waargenomen vanaf het voorwerp met als consequentie dat de versnelling gedefinieerd wordt door de subjectieve afstand waarop de massa zich bevond toen het licht dat de waarnemer bereikt door de massa werd uitgezonden. 

Deze nieuwe zienswijze wijkt sterk af van de traditionele opvatting waarbij het gravitatieveld als een starre fysische entiteit zit vastgeklonken aan de massa en meedraait en meebeweegt met de massa waarbij de grootte van de versnelling die een object op zeker moment ondervindt uitsluitend afhangt van de objectieve, dat is de werkelijke  afstand op dat moment tot het zwaartepunt van de massa.  

Dit betekent bijvoorbeeld dat een voorwerp dat een massa passeert de massa op een iets andere plaats waarneemt en ervaart dan een voorwerp dat in datzelfde punt stilstaat of de andere kant op beweegt ten opzichte van die massa. Dat speelt bij het afwijkende gedrag van de komeet Oumuamua (§7 en 8) de belangrijkste rol en ook bij de oplossing van het probleem van de Donkere Materie.

 

Terug

Naar Deel II